MP Board Class 12th Physics Solutions Chapter 15 संचार व्यवस्था
संचार व्यवस्था अन्य महत्त्वपूर्ण प्रश्नोत्तर
संचार व्यवस्था विस्तृत उत्तरीय प्रश्नोत्तर
प्रश्न 1.
संचार व्यवस्था क्या है? इसके कितने मूल अवयव हैं? स्पष्ट कीजिए।
अथवा रेडियो संचार व्यवस्था का नामांकित ब्लॉक आरेख बनाइए। [2014, 16, 17]
अथवा संचार व्यवस्था के मुख्य अवयव कौन-कौन से हैं? एक ब्लॉक आरेख द्वारा प्रदर्शित कीजिए। [2017]
अथवा संचार व्यवस्था का योजनाबद्ध आरेख खींचिए तथा इसके विभिन्न अवयवों का उल्लेख कीजिए। [2016, 18]
उत्तर :
संचार व्यवस्था (Communication System)-“सूचनाओं अथवा सन्देशों के एक स्थान से दूसरे स्थान तक स्थानान्तरण की प्रक्रिया संचार कहलाती है।” इस प्रकार सन्देशों अथवा सूचनाओं को किसी विधि द्वारा (विद्युतचुम्बकीय तरंगों द्वारा अथवा केबिल्स द्वारा) एक स्थान से सम्प्रेषित करके दूसरे स्थान पर ग्रहण करने की व्यवस्था को संचार व्यवस्था कहते हैं।
संचार व्यवस्था के अवयव (Elements of a Communication System)-संचार व्यवस्था किसी भी प्रकृति की हो, इसके तीन प्रमुख अवयव होते हैं-
- प्रेषित्र (transmitter),
- संचार माध्यम (communication channel) तथा
- अभिग्राही (receiver)।
1. प्रेषित्र (Transmitter)- इसे सम्प्रेषण चैनल भी कहते हैं क्योंकि यह मूल सन्देश (जैसे—भाषण, सूचना) सिग्नल को एक उचित सिग्नल में बदलता है। जब कोई वक्ता व श्रोता के बीच की दूरी बहुत अधिक होती है तो तारें (केबिल्स) सम्प्रेषण चैनल का कार्य नहीं कर पाती हैं। इस स्थिति में पहले ध्वनि को माइक्रोफोन द्वारा विद्युत सिग्नलों में बदलते हैं तथा इनकी शक्ति को ऐम्पिलीफायर द्वारा बढ़ाकर इनको रेडियो आवृत्ति की वाहक तरंगों के साथ मॉडुलित करके ऐन्टिना द्वारा विद्युतचुम्बकीय तरंगों के रूप में अन्तरिक्ष में प्रेषित कर देते हैं।
2. संचार माध्यम (Communication Channel)- संचार माध्यम ऐसा भौतिक माध्यम (अथवा मुक्त आकाश) है जिसके द्वारा प्रेषित्र से भेजी गई विद्युतचुम्बकीय तरंगों के रूप में सूचना अथवा भाषण अभिग्राही के ऐन्टिना पर पहुँचती है, संचार माध्यम कहलाता है। यह तारों का एक युग्म अर्थात् केबिल तथा बेतार अर्थात् मुक्त आकाश में से कुछ भी हो सकता है।
3. अभिग्राही (Receiver)- अभिग्राही प्रेषित्र द्वारा भेजे गए परिवर्तित सिग्नल को वास्तविक सिग्नल में बदलता है। इस प्रक्रिया को विमॉडुलन (demodulation) अथवा डिमॉडुलन कहते हैं। जब अभिग्राही के ऐन्टिना पर मॉडुलित तरंगें पहुँचती हैं तो वहाँ पर पहले श्रव्य तरंगों को अलग कर लेते हैं फिर इन्हें प्रवर्धित कर लाउडस्पीकर को भेज देते हैं। यहाँ पर इन्हें पुन: ध्वनि तरंगों में परिवर्तित कर देते हैं।
संचार व्यवस्था का नामांकित आरेख चित्र-15.3 में प्रदर्शित है

![]()
प्रश्न 2.
इलेक्ट्रॉनिक संचार व्यवस्था में प्रयुक्त होने वाली मूल शब्दावली को परिभाषित कीजिए।
उत्तर
इलेक्ट्रॉनिक संचार व्यवस्थाओं में उपयोग होने वाली मूल शब्दावली (Basic Terms Used in Electronic Telecommunication System)-किसी भी संचार व्यवस्था को समझने के लिए उसकी मूल शब्दावली को समझना आवश्यक है। संचार व्यवस्था की मूल शब्दावली में सम्मिलित मुख्य शब्द निम्न प्रकार हैं
1. ट्रान्सड्यूसर (Transducer)- ट्रान्सड्यूसर वह युक्ति है जो ऊर्जा के एक रूप को दूसरे रूप में परिवर्तित कर देती है। इलेक्ट्रॉनिक संचार व्यवस्थाओं में प्रायः ऐसी युक्तियाँ प्रयुक्त होती हैं जिनका निवेश (input) अथवा निर्गत (output) विद्युतीय रूप में होता है। विद्युतीय ट्रान्सड्यूसर एक ऐसी युक्ति है जो कुछ भौतिक चरों जैसे दाब, विस्थापन, बल, ताप आदि को अपने निर्गत (output) पर विद्युतीय सिग्नल में रूपान्तरित कर देती है।
2. सिग्नल (Signal)- प्रेषण के लिए उपयुक्त विद्युत रूप में रूपान्तरित सूचना को सिग्नल या संकेत कहते हैं। सिग्नल अनुरूप (analog) अथवा अंकीय (digital) प्रकार का हो सकता है। अनुरूप सिग्नल में वोल्टता तथा धारा निरन्तर परिवर्तित होते हैं जो अनिवार्यतः समय के एकल मान वाले फलन होते हैं। टेलीविजन के ध्वनि तथा दृश्य सिग्नल, अनुरूप सिग्नल होते हैं। अंकीय सिग्नल में वोल्टता तथा धारा क्रमवार विविक्त मान प्राप्त करते हैं। अंकीय इलेक्ट्रॉनिकी में मुख्य रूप से द्विआधारी पद्धति (binary system) प्रयुक्त होती है जिसमें किसी सिग्नल के केवल दो स्तर होते हैं। वोल्टता-धारा के निम्न स्तर को ‘0’ से तथा वोल्टता-धारा के उच्च स्तर को ‘1’ से प्रदर्शित किया जाता है।
3. शोर (Noise)- शोर का अर्थ है अवांछनीय सिग्नल जो किसी संचार व्यवस्था में सन्देश सिग्नलों के प्रेषण तथा अभिग्रहण में व्यवधान उत्पन्न करने का प्रयत्न करता है।
4. प्रेषित्र (प्रेषी) (Transmitter)- प्रेषित्र वह युक्ति है जो सूचनाओं के विद्युत सिग्नलों.को संसाधित कर वाहक तरंगों (carrier waves) पर अध्यारोपण के पश्चात् उसे संचार माध्यम से होकर प्रेषण तथा अभिग्राही पर अभिग्रहण के लिए उपयुक्त बनाती है।
5. अभिग्राही (Receiver)- अभिग्राही वह युक्ति है जो संचार माध्यम के निर्गत (output) पर प्राप्त सिग्नल से वांछनीय सन्देश सिग्नलों को प्राप्त करता है।
6. क्षीणता (Attenuation)- संचार माध्यम से संचरण के समय सिग्नल की प्रबलता में क्षति होने की प्रक्रिया क्षीणता कहलाती है।
7.प्रवर्धन (Amplification)- किसी इलेक्ट्रॉनिक परिपथ द्वारा सिग्नल की प्रबलता बढ़ाने की प्रक्रिया प्रवर्धन कहलाती है। संचार व्यवस्था में क्षीणता के कारण होने वाले क्षय की क्षतिपूर्ति के लिए प्रवर्धन आवश्यक है।
8. परास (Range)- प्रेषित्र तथा अभिग्राही के सिरों के बीच की वह अधिकतम दूरी है जहाँ तक सिग्नल को उसकी पर्याप्त प्रबलता के साथ अथवा मॉडुलेशन से प्राप्त किया जा सकता है, परास कहलाती है।
9. बैण्ड-चौड़ाई (Bandwidth)- बैण्ड-चौड़ाई से तात्पर्य उस आवृत्ति परास से है जिस पर कोई उपकरण कार्य करता है अथवा सिग्नल में उपस्थित तरंगों की आवृत्ति-परास को बैण्ड-चौड़ाई कहते हैं।
10. मॉडुलन अथवा मॉडुलेशन (Modulation)- निम्न आवृत्ति की विद्युतचुम्बकीय तरंगों को बहुत अधिक दूरियों तक प्रेषित नहीं किया जा सकता है। इसीलिए प्रेषित्र पर, निम्न आवृत्ति की विद्युतचुम्बकीय तरंगों को उच्च आवृत्ति की वाहक तरंगों पर अध्यारोपित कराया जाता है। इस प्रक्रिया को मॉडुलन अथवा मॉडुलेशन कहते हैं।
11. विमॉडुलन अथवा डिमॉडुलेशन (Demodulation)- वह प्रक्रिया जिसमें अभिग्राही से प्राप्त मॉडुलित तरंगों में से मूल विद्युतचुम्बकीय तरंगों को अलग किया जाता है, उन्हें विमॉडुलन अथवा डिमॉडुलेशन कहते हैं।
12. पुनरावर्तक (Repeater)- पुनरावर्तक अभिग्राही तथा प्रेषित्र का संयोजन होता है। पुनरावर्तक का उपयोग किसी संचार व्यवस्था का परास बढ़ाने के लिए किया जाता है। पुनरावर्तक प्रेषित से सिग्नल प्राप्त करके उसे प्रवर्धित करता है तथा उसे अभिग्राही को पुनः प्रेषित कर देता है।
प्रश्न 3.
सिग्नलों की बैण्ड-चौड़ाई से क्या तात्पर्य है? समझाइए।
उत्तर
सिग्नलों की बैण्ड-चौड़ाई (Bandwidth of Signals)-किसी संचार व्यवस्था द्वारा प्रेषित किया जाने वाला सन्देश सिग्नल, कोई आवाज, संगीत, दृश्य अथवा डिजिटल आँकड़ा हो सकता है। इन सिग्नलों में प्रत्येक का आवृत्ति परास भिन्न-भिन्न होता है। किसी दिए गए सिग्नल की संचार प्रक्रिया के लिए किस प्रकार की संचार व्यवस्था होनी चाहिए यह उस सिग्नल के आवृत्ति बैण्ड पर निर्भर करता है। किसी सिग्नल की आवृत्ति परास उस सिग्नल की आवृत्ति बैण्ड कहलाती है तथा बैण्ड में . सम्मिलित उच्चतम तथा न्यूनतम आवृत्तियों का अन्तर बैण्ड-चौड़ाई कहलाता है। बैण्ड-चौड़ाई के आधार पर सिग्नल दो प्रकार के होते हैं
1. वाक् सिग्नल (Speech Signals)-ध्वनि तरंगों की आवृत्ति का श्रव्य परिसर 20 हर्ट्स से 20 किलोहर्ट्स तक है। वाक् सिग्नलों के लिए उपयुक्त आवृत्ति परास 300 हर्ट्स से 3100 हर्ट्स है। अत: वाक् सिग्नलों के व्यापारिक टेलीफोन संचार के लिए बैण्ड-चौड़ाई 3100 हर्ट्स – 300 हर्ट्स = 2800 हर्ट्स है। वाद्य यन्त्र उच्च आवृत्तियों के स्वर उत्पन्न करते हैं, अत: संगीत के प्रेषण के लिए बैण्ड-चौड़ाई लगभग 20 किलोहर्ट्स होती है।
2. टी० वी० सिग्नल (T.V. Signals)-दृश्यों के प्रसारण (प्रेषण) के लिए वीडियो सिग्नलों को 4.2 मेगाहर्टस बैण्ड-चौड़ाई की आवश्यकता होती है। T.V. सिग्नलों में दृश्य तथा श्रव्य दोनों अवयव होते हैं तथा उनके प्रेषण के लिए प्रायः 6 मेगाहर्ट्स बैण्ड-चौड़ाई आवंटित की जाती है। विभिन्न सिग्नलों के आवृत्ति परास तथा बैण्ड-चौड़ाई सारणी-1 में दिए गए हैं

प्रश्न 4.
प्रेषण माध्यम की बैण्ड-चौड़ाई को समझाइए।
उत्तर
प्रेषण माध्यम की बैण्ड-चौड़ाई (Bandwidth of Transmission Mediator)-सन्देश सिग्नलों की ही भाँति अलग-अलग प्रकार के प्रेषण माध्यमों के लिए भिन्न-भिन्न बैण्ड-चौड़ाई की आवश्यकता होती है। सामान्यतया प्रेषण में प्रयुक्त होने वाले माध्यम-तार, मुक्त आकाश तथा प्रकाशिक तन्तु केबिल हैं।
1. तारें (Wires)-माध्यम के रूप में समाक्षी केबिल (coaxial cable) व्यापक रूप से प्रयुक्त किया जाता है जो सामान्यत: 18 गीगाहर्ट्स आवृत्ति से नीचे कार्य करता है तथा जिसके लिए बैण्ड-चौड़ाई लगभग 750 मेगाहर्ट्स है।
2. मुक्त आकाश (Free Space)-संचार माध्यम के रूप में मुक्त आकाश से रेडियो तरंगों का विस्तृत आवृत्ति परास संचरित होता है। रेडियो तरंगों के विभिन्न आवृत्ति परिसर को अलग-अलग सेवाएँ प्रदान करने के लिए आवंटित किया गया है जिन्हें सारणी-2 में प्रदर्शित किया गया है।

प्रश्न 5.
पृथ्वी के वायुमण्डल की विभिन्न परतों तथा उनका संचार में उपयोग समझाइए।
उत्तर
पृथ्वी का वायुमण्डल (Earth’s Atmosphere)-पृथ्वी के चारों ओर उपस्थित गैसों के आवरण को वायुमण्डल कहते हैं। वायुमण्डल में मुख्यत: नाइट्रोजन, ऑक्सीजन, गैसें तथा अल्प मात्रा में कार्बन डाइऑक्साइड, आर्गन गैसें व जलवाष्प तथा सल्फर के यौगिक तथा धूल के कण होते हैं। पृथ्वी तल से ऊँचाई के साथ वायुमण्डल का घनत्व धीरे-धीरे घटता जाता है। पृथ्वी के वायुमण्डल की कोई स्पष्ट सीमा रेखा नहीं है, फिर भी इसे विभिन्न परतों में विभाजित किया जाता है जो निम्न प्रकार हैं
1. क्षोभमण्डल (Troposphere)-इस भाग का विस्तार पृथ्वी तल से 10 किमी की ऊँचाई तक होता है। इस क्षेत्र में पृथ्वी तल से ऊँचाई के साथ ताप 15°C से -50°C तक घटता है। हमारे पर्यावरण को प्रभावित करने वाली अधिकांश मौसमी घटनाएँ इसी क्षेत्र में उत्पन्न होती हैं।
2. समतापमण्डल (Stratosphere)-इस भाग का विस्तार पृथ्वी तल से 10 किमी से 50 किमी तक होता है। यह भाग धूल रहित, जल-वाष्प रहित होता है। इस भाग में ऊपर की ओर चलने पर ताप – 50°C से बढ़कर 10°C तक हो जाता है तथा वायु का घनत्व घटकर पृथ्वी तल पर घनत्व की तुलना में 10-3 हो जाता है। समतापमण्डल में पृथ्वी तल से 30 किमी से लेकर 50 किमी तक के भाग को ओजोन परत (ozone layer) कहते हैं। यह परत सूर्य से आने वाले अधिकांश पराबैंगनी विकिरणों का अवशोषण कर लेता है और इस प्रकार पृथ्वी के लिए सुरक्षा कवच का कार्य करती है।
3. मध्यमण्डल (Mesosphere)-इस भाग का विस्तार पृथ्वी तल से 50 किमी ऊँचाई से 80 किमी ऊँचाई तक होता है। इस भाग में ऊपर की ओर जाने पर ताप एकसमान रूप से 10°C से घटकर -90°C हो जाता है तथा वायु का घनत्व घटकर पृथ्वी तल पर घनत्व की तुलना में 10-3 से 10- हो जाता है। यह क्षेत्र उच्च आवृत्ति (H.F.) की विद्युतचुम्बकीय तरंगों के एक भाग को अवशोषित कर शेष भाग को अपने में से होकर पृथ्वी की ओर आने देता है।
4. आयनमण्डल (Ionosphere)-इस भाग का विस्तार पृथ्वी तल से 80 किमी ऊँचाई से 400 किमी ऊँचाई तक होता है। इस भाग में ऊपर की ओर जाने पर ताप एकसमान रूप से -93°C से 427°C तक बढ़ता है तथा वायु का घनत्व पृथ्वी तल पर घनत्व की तुलना में 10-5 से घटकर 10-10 गुना रह जाता है। आयनमण्डल के इस भाग को तापमण्डल (thermosphere) कहते हैं। सूर्य से आने वाली पराबैंगनी तथा X-किरणें इस भाग में आयनन (ionisation) उत्पन्न करती हैं, इसी कारण इस भाग में अधिकांशत: मुक्त इलेक्ट्रॉन व धन आयन होते हैं।
इसी कारण इस भाग को आयनमण्डल कहते हैं। पृथ्वी तल से लगभग 110 किमी की ऊँचाई पर इलेक्ट्रॉनों की सान्द्रता बहुत अधिक हो जाती है तथा इसका विस्तार लगभग 150 किमी तक ऊपर की ओर होता है, इस परत को E परत अथवा कैनेली हैवीसाइड परत (Kennelly-Heaviside Layer) कहते हैं। इसके पश्चात् पृथ्वी तल से 250 किमी की ऊँचाई तक इलेक्ट्रॉनों की सान्द्रता काफी घट जाती है। इसके ऊपर इलेक्ट्रॉनों की अपेक्षाकृत अधिक सान्द्रता की एक ओर परत होती है, जिसे F-परत अथवा एपल्टन परत (Appleton layer) कहते हैं।
आयनमण्डल की E तथा F परतों से रेडियो तरंगों का परावर्तन होता है। वह अधिकतम आवृत्ति जो आयनमण्डल द्वारा परावर्तित हो सकती है, क्रान्तिक आवृत्ति (critical frequency) कहलाती है, इसे ‘fc‘ से प्रदर्शित करते हैं।
क्रान्तिक आवृत्ति \(f_{c}=9 \sqrt{N_{\max }}\)
जहाँ Nmax आयनमण्डल की उस परत का (जहाँ परावर्तन होता है) अधिकतम इलेक्ट्रॉन घनत्व है।
![]()
प्रश्न 6.
वायुमण्डल में वैद्युतचुम्बकीय तरंगों का संचरण किस प्रकार होता है? समझाइए।
अथवा व्योम तरंगें क्या हैं? इनके संचरण का संक्षिप्त विवरण दीजिए। [2018]
अथवा व्योम तरंग संचरण तथा आकाश तरंग संचरण से क्या तात्पर्य है? [2014]
अथवा आकाश तरंग संचरण की आवृत्ति परास लिखिए।समझाइए कि इन तरंगों का संचरण कितने प्रकार से किया जाता है? [2018]
अथवा व्योम तरंगों तथा आकाश तरंगों का वर्णन कीजिए। [2018]
अथवा सिद्ध किजिए कि आकाश तरंगों के संचरण हेतु एक टी०वी० प्रेषी ऐन्टिना जो पृथ्वी तल से h ऊँचाई पर है, का प्रसारण परास \(d=\sqrt{2 R h}\) है, जहाँ R पृथ्वी की त्रिज्या है। [2015,17]
अथवा एक टी०वी० ऐन्टिना की ऊँचाई मीटर है। दर्शाइए कि इसके द्वारा पृथ्वी की सतह पर दूरी \(d_{T}=\sqrt{2 h R} \sqrt{10 h}\) तक सिग्नल प्रसारित किया जा सकता है, यहाँ R पृथ्वी की त्रिज्या है। [2018]
उत्तर
वायुमण्डल में वैद्युतचुम्बकीय तरंगों का संचरण अथवा विभिन्न संचार विधियाँ (Propagation of Electromagnetic Waves in Atmosphere or Different Modes of Propagation)-विभिन्न आवृत्ति परास की सूचना सिग्नलों के संचार के लिए भिन्न-भिन्न संचार विधियाँ प्रयुक्त की जाती हैं जो अग्र प्रकार हैं
1. भू-तरंग संचरण (Ground Wave Propagation)- वह रेडियो तरंग जो पृथ्वी के पृष्ठ के अनुदिश एक बिन्दु से दूसरे बिन्दु तक गमन करती हैं, भू-तरंग (ground wave) कहलाती हैं। किसी भी सिग्नल को उच्च दक्षता से विकिरित करने के लिए ऐन्टिना का न्यूनतम आकार सिग्नल की तरंगदैर्घ्य (2) का एक चौथाई (214) होना चाहिए। विद्युतचुम्बकीय तरंगें (रेडियो तरंगें) जिनकी आवृत्ति 500 किलोहर्ट्स से 1500 किलोहर्ट्स तक होती है का संचरण प्रेषित्र से अभिग्राही तक पृथ्वी तल के समीप वायुमण्डल में पृथ्वी सतह की चालकता के कारण समान्तर होता है।
भू-तरंगें गमन करते समय पृथ्वी पर आवेश प्रेरित करती हैं, जो तरंग के साथ आगे बढ़ता है तथा पृथ्वी की सतह पर प्रेरित धारा उत्पन्न करता है। प्रेरित धाराओं के प्रवाह के कारण इन तरंगों की प्रबलता क्षीण होती जाती है। पृथ्वी के समीप संचरित तरंगें ऊर्ध्वाधर तल में ध्रुवित होती हैं, अत: इनका विद्युत क्षेत्र पृथ्वी तल के समान्तर होता है, जिसका अवशोषण, पृथ्वी तल के प्रतिरोध तथा वस्तुओं द्वारा विवर्तन होने के कारण बहुत अधिक होता है।
विवर्तन के कारण ही तरंगों के आगे बढ़ने के साथ उनका झुकाव कोण बढ़ता जाता है और कुछ दूरी तय करने के बाद तरंग नीचे आ जाती है तथा समाप्त हो जाती है। अत: ये बहुत दूरी तक संचरित नहीं होती है। अधिक आवृत्ति की तरंगों का अवशोषण अधिक होने के कारण, अधिक आवृत्ति की रेडियो तरंगों का संचरण इस विधि में नहीं होता है। भू-तरंग संचरण का परास रेडियो तरंगों की आवृत्ति तथा प्रेषित्र की शक्ति पर निर्भर करता है।
2. व्योम तरंग संचरण (Sky Wave Propagation)-वे रेडियो तरंगें जिनका संचरण वायुमण्डल में आयनमण्डल की उपस्थिति के कारण होता है, व्योम तरंगें कहलाती हैं। व्योम तरंगों (sky waves) की आवृत्ति 3 मेगाहर्ट्स से 30 मेगाहर्ट्स तक होती है। ये तरंगें वायुमण्डल के आयनमण्डल द्वारा परावर्तित हो जाती हैं तथा इनसे उच्च आवृत्ति की विद्युतचुम्बकीय तरंगें आयनमण्डल को भेदकर पलायन कर जाती हैं।
इनका प्रेषित्र ऐन्टिना द्वारा वायुमण्डल में प्रसारण होता है तथा वायुमण्डल के आयनमण्डल द्वारा पूर्ण आन्तरिक परावर्तन होने के बाद ये अभिग्राही ऐन्टिना में प्रेरित विद्युत वाहक बल उत्पन्न करती हैं। व्योम तरंग संचरण उच्च आवृत्तियों की लम्बी दूरी तक (4000 किमी तक) संचरित करने के उपयोग में लायी जाती है।
3. आकाश तरंग अथवा क्षोभमण्डलीय संचरण (Space Wave or Tropospheric Propagation)- आकाश तरंगों की आवृत्ति 40 मेगाहर्टस से 300 मेगाहर्टस होती है। आकाश तरंगें प्रेषित्र ऐन्टिना से सीधे, पृथ्वी तल से परावर्तन के पश्चात् अथवा क्षोभमण्डल (troposphere) से परावर्तन के पश्चात् अभिग्राही ऐन्टिना तक पहुँचती है। इसलिए इनके संचरण को क्षोभमण्डलीय संचरण (tropospheric propagation) भी कहते हैं।
आकाश तरंग संचरण में परा उच्च आवृत्ति (UHF), अति उच्च आवृत्ति (VHF) तथा माइक्रोवेव (microwave) तरंगों का उपयोग किया जाता है। उच्च आवृत्ति का संचरण भू-तरंग तथा व्योम तरंग के द्वारा नहीं हो सकता है क्योंकि पृथ्वी की सतह पर बहुत कम दूरी तय करने पर अति उच्च आवृत्ति तथा परा उच्च आवृत्ति की तरंगें पूर्णत: अवशोषित हो जाती हैं तथा ये तरंगें आयनमण्डल से परावर्तित नहीं होतीं वरन् उससे पारगमित हो जाती हैं। आकाश तरंग संचरण दृष्टि रेखा संचार (Line of Sight distance, LOS) तथा पृथ्वी की वक्रता (curvature of the earth) द्वारा सीमित होता है।
इन तरंगों का संचरण निम्न दो प्रकार से किया जा सकता है-
- भू-स्थिर संचार उपग्रहों के द्वारा संचार उपग्रह सिग्नलों को परावर्तित कर अभिग्राही ऐन्टिना तक प्रेषित कर देता है।
- सीधे प्रेषित्र ऐन्टिना के द्वारा-इन विधि में प्रेषित्र ऐन्टिना से प्रसारित सिग्नल सीधे अभिग्राही ऐन्टिना तक पहुँच जाता है। दीर्घ दूरी तक प्रसारण के लिए प्रेषित्र ऐन्टिना की ऊँचाई अधिक रखी जाती है।
(a) प्रेषित्र ऐन्टिना की पृथ्वी से ऊँचाई (h) तथा पृथ्वी पर उसके परास (d) में सम्बन्ध [Relation between Height of Transmitting Antenna from Earth (h) and its Range on Earth (d)]-माना प्रेषित्र ऐन्टिना (T) की पृथ्वी से ऊँचाई h है तथा पृथ्वी का केन्द्र 0 व त्रिज्या R है। पृथ्वी की वक्रता के कारण पृथ्वी सतह के बिन्दुओं A व B से दूर सिग्नल प्राप्त नहीं किए जा सकते। यहाँ AT व BT क्रमशः बिन्दुओं A व B पर स्पर्श रेखाएँ हैं। माना d ऐन्टिना के आधार से पृथ्वी की दूरी है जहाँ तक सिग्नल प्राप्त होते हैं।
त्रिभुज TOA में,
OT2 = (OA)2 + (AT)2
जहाँ OT = R+ h, OA = R, AP ≈ AT = d (:: h << R)
अत: (R+ h)2 = R2 +d2
अत: R2 + h2 +2 Rh = R2 +d2
अथवा h2 +2Rh = d2
अथवा 2 Rh = d2
प्रसारण परास \(d=\sqrt{2 R h}\)

d वह दूरी है जहाँ तक प्रेषित्र ऐन्टिना से पृथ्वी पर सिग्नल पहुँचता है। यह प्रेषित्र ऐन्टिना की ऊँचाई h पर निर्भर करता है अर्थात् ऊँचाई h अधिक होने पर अधिक तथा कम होने पर कम होता है। . A वह क्षेत्रफल है, जहाँ तक ऐन्टिना द्वारा प्रेषित टी०वी० प्रसारण देखा जा सकता है
A= πd2 = 2πRh
इस क्षेत्र में प्रसारण से लाभान्वित जनसंख्या = जनसंख्या घनत्व – क्षेत्रफल जिनमें TV सिग्नल प्रसारित हो सकता है।
(b) प्रेषित्र ऐन्टिना की ऊँचाई (ht) तथा अभिग्राही ऐन्टिना की ऊँचाई (hR) हो तो इनके मध्य संचरण दृष्टि रेखा (Line of Sight distance, LOS) की अधिकतम
दूरी-40 मेगाह से अधिक आवृत्तियों पर संचार केवल दृष्टि रेखीय (LOS-Line of Sight) द्वारा ही सम्भव है। LOS प्रकृति का संचार चित्र-15.4 में दर्शाया गया है, जिसमें पृथ्वी की वक्रता के कारण सीधी तरंगें किसी बिन्दु P पर अवरोधित हो जाती हैं, यदि सिग्नल को क्षैतिज से आगे (दृष्टि बाधित क्षेत्र में) प्राप्त करना है तो अभिग्राही ऐन्टिना की ऊँचाई hR अधिक रखनी होगी जिससे वह LOS तरंगों को प्राप्त कर सके। यदि प्रेषक ऐन्टिना की ऊँचाई hT,उससे क्षितिज बिन्दु P की दूरी dT तथा अभिग्राही ऐन्टिना की ऊँचाई hR, उससे क्षितिज बिन्दु P की दूरी dR हो (चित्र-15.5) तथा दोनों ऐन्टिनाओं के बीच की अधिकतम दृष्टि रेखा की दूरी dM हो, तो
\(d_{M}=d_{T}+d_{R}=\sqrt{2 R h_{T}}+\sqrt{2 R h_{R}}\)

प्रश्न 7.
मॉडुलेशन से क्या तात्पर्य है? इसकी आवश्यकता क्यों पड़ती है? समझाइए। [2015]
अथवा तरंगों के ‘मॉडुलन’ से क्या तात्पर्य है? किसी माध्यम में तरंगों के संचरण में मॉडुलन की आवश्यकता पर प्रकाश डालिए। [2018]
अथवा दो कारणों को लिखिए जिससे किसी सिग्नल के मॉडुलन की आवश्यकता स्पष्ट होती है। [2014]
अथवा सिग्नल संचरण के लिए मॉडुलेशन की आवश्यकता क्यों है? [2015]
उत्तर
मॉडुलन अथवा मॉडुलेशन तथा इसकी आवश्यकता (Modulation and its Need)-निम्न आवृत्ति की वैद्युतचुम्बकीय तरंगों को उच्च आवृत्ति की वाहक तरंगों पर अध्यारोपित करने की प्रक्रिया को मॉडुलन अथवा मॉडुलेशन कहते हैं। … निम्न आवृत्ति की अध्यारोपित की जाने वाली तरंगों को मॉडुलेटिंग तरंग (modulating waves) उच्च आवृत्ति की तरंगों को जिन पर निम्न आवृत्ति की तरंगें अध्यारोपित की जाती हैं, को वाहक तरंगें (carrier waves) तथा मॉडुलेशन प्रक्रिया के फलस्वरूप प्राप्त परिणामी तरंग को मॉडुलित तरंग (modulated waves) कहते हैं।
संचार निकाय में सन्देश सिग्नल श्रव्य आवृत्ति परास (20 हर्ट्स से 20000 हर्ट्स) के होते हैं। प्रेषित करने से पूर्व इनकों . माइक्रोफोन द्वारा विद्युत सिग्नल में परिवर्तित किया जाता है जिनका आवृत्ति परास भी इतना ही होता है। इन तरंगों को लम्बी दूरी तक प्रसारित नहीं किया जा सकता है इनके निम्नलिखित कारण हैं
1. ऐन्टिना का आकार (Size of Antenna)- किसी सन्देश सिग्नल को प्रेषित करने के लिए ऐन्टिना की आवश्यकता होती है। किसी सिग्नल को प्रसारित करने के लिए ऐन्टिना की लम्बाई सिग्नल की तरंगदैर्घ्य की कोटि की न्यूनतम 21 4 होनी चाहिए। श्रव्य तरंगों की आवृत्ति परास 20 हर्ट्स से 20 किलोहर्ट्स होती है जिनके लिए न्यूनतम तरंगदैर्घ्य λ = \(\frac { c}{ v }\)

मीटर=15000 मीटर है। अतः श्रव्य तरंगों को ऐन्टिना से प्रेषित करने के लिए उसकी न्यूनतम लम्बाई \(\frac { 15000 }{ 4 }\) मीटर के क्रम की होनी चाहिए, परन्तु इतनी लम्बाई का ऐन्टिना बनाना व्यावहारिक नहीं है। अत: श्रव्य तरंगों को ऐन्टिना से प्रसारित नहीं किया जा सकता है। यदि इन तरंगों को उच्च आवृत्ति (लगभग 106 हर्ट्स) की वाहक तरंगों पर अध्यारोपित कर दिया जाए तब आवश्यक ऐन्टिना की न्यूनतम लम्बाई \(\frac{\lambda}{4}=\frac{3 \times 10^{8}}{4 \times 10^{6}}\) मीटर होगी जोकि व्यावहारिक है।
अतः प्रेषण से पूर्व निम्न आवृत्ति के सिग्नल को उच्च आवृत्ति की तरंगों के साथ अध्यारोपित करना आवश्यक है।
2. ऐन्टिना द्वारा प्रभावी शक्ति विकिरण (Effective Power Radiation by Antenna)-किसी / लम्बाई के रेखीय ऐन्टिना द्वारा विकिरित शक्ति P तरंगदैर्घ्य 2 के वर्ग के व्युत्क्रमानुपाती होती है, अर्थात्
\(P \propto \frac{1}{\lambda^{2}}\)
अत: निम्न आवृत्ति एवं दीर्घ तरंगदैर्घ्य के आधार बैण्ड सिग्नल द्वारा प्रभावी शक्ति का विकिरण कम होगा, अत: अच्छे एवं प्रभावी प्रेषण के लिए उच्च शक्ति चाहिए जो उच्च आवृत्ति एवं कम तरंगदैर्घ्य के आधार बैण्ड सिग्नल से ही सम्भव है। अतः स्पष्ट है कि निम्न आवृत्ति के सिग्नल का उच्च आवृत्ति की तरंगों के साथ मॉडुलेशन करना आवश्यक है।
3. विभिन्न प्रेषित्रों से प्राप्त सिग्नलों का मिश्रण (Mixing of Signals obtained from Different Transmitters)-जब एकसाथ कई आधार बैण्ड सिग्नल प्रेषित किए जाते हैं तो वे परस्पर मिश्रित हो जाते हैं जिनमें विभेद करना सरल नहीं होता है। अत: इस कठिनाई को दूर करने के लिए निम्न आवृत्तिं सिग्नलों को उच्च आवृत्ति की तरंगों के साथ मॉडुलित कर प्रेषित किया जाता है तथा प्रत्येक प्रसारण स्टेशन को एक अलग आवृत्ति बैण्ड आवंटित कर देते हैं।
इस प्रकार स्पष्ट है कि निम्न आवृत्ति के सन्देश सिग्नलों को प्रेषित करने से पूर्व उनका उच्च आवृत्ति की वाहक तरंगों के साथ मॉडुलेशन आवश्यक होता है।
प्रश्न 8.
मॉडुलन कितने प्रकार के होते हैं? प्रत्येक को समझाइए।
अथवा आयाम मॉडुलन से क्या तात्पर्य है? एक आयाम मॉडुलक का परिपथ आरेख बनाइए। [2014, 15]
अथवा आयाम मॉडुलित तरंग के उत्पादन हेतु आवश्यक नामांकित परिपथ आरेख बनाइए। [2015,17]
अथवा परिपथ चित्र की सहायता से रेडियो प्रसारण में मॉडुलन की प्रक्रिया समझाइए। [2015]
उत्तर
मॉडुलन के प्रकार (Types of Modulation)-निम्न आवृत्ति के सन्देश सिग्नल को उच्च आवृत्ति की वाहक . तरंगों के किस गुण में परिवर्तन कर अध्यारोपित किया गया है, इस आधार पर मॉडुलेशन निम्नलिखित प्रकार का होता है
1. आयाम मॉडुलन (Amplitude Modulation)- जब उच्च आवृत्ति की वाहक तरंगों के आयाम को निम्न आवृत्ति के श्रव्य सिग्नलों के संगत आयामों के अनुरूप परिवर्तित किया जाता है तो उनके परस्पर अध्यारोपण की प्रक्रिया आयाम मॉडुलन कहलाती है। भारत में अधिकांश रेडियो प्रसारण तथा टेलीविजन प्रसारण में वीडियो संकेतों को आयाम मॉडुलित तरंगों द्वारा प्रसारित किया जाता है। आयाम मॉडुलक का परिपथ आरेख चित्र-16.6 में प्रदर्शित है।
2. आवृत्ति मॉडुलन (Frequency Modulation)- जब उच्च आवृत्ति की वाहक तरंगों की आवृत्ति को श्रव्य संकेतों के संगत आयामों के अनुरूप परिवर्तित किया जाता तो उनके परस्पर अध्यारोपण की प्रक्रिया आवृत्ति मॉडुलन कहलाती है। भारत में कुछ रेडियो स्टेशनों से तथा टेलीविजन प्रसारण में ध्वनि संकेतों को आवृत्ति मॉडुलित कर प्रसारित किया जाता है।
3. कला मॉडुलन (Phase Modulation)- जब उच्च आवृत्ति की वाहक तरंगों की कला (phase) को श्रव्य तरंगों के संगत आयामों के अनुरूप परिवर्तित किया जाता है तो उनके परस्पर अध्यारोपण की प्रक्रिया कला मॉडुलन कहलाती है।
![]()
प्रश्न 9.
आयाम मॉडुलन को स्पष्ट करके मॉडुलन सूचकांक अथवा गुणांक को समझाइए।
उत्तर
आयाम मॉडुलन (Amplitude Modulation)-माना किसी क्षण t पर सूचना सिग्नल (मॉडुलक सिग्नल) की वोल्टता समीकरण निम्नलिखित है –
em = Em sinωmt
जहाँ Em = सिग्नल का आयाम, ωm = सिग्नल की कोणीय आवृत्ति तथा ωm = 2 πvm
जहाँ νm सूचना सिग्नल की आवृत्ति है।
किसी क्षण t पर वाहक तरंग का वोल्टता समीकरण ec = Ec sinωct
जहाँ Ec = वाहक तरंग का आयाम, ωc = वाहक तरंग की कोणीय आवृत्ति तथा ωc= 2 πVc.
जहाँ νc वाहक तरंग की आवृत्ति है।
आयाम मॉडुलेशन में मॉडुलित तरंग का आयाम सूचना सिग्नल (मॉडुलक सिग्नल) के आयाम की भाँति समय के साथ बदलता है, अत: मॉडुलित तरंग का आयाम
E= Ec + em = Ec + Em sinωm t
चित्र-15.6 में परिणामी आयाम मॉडुलित तरंग प्रदर्शित है।
मॉडुलित तरंग का वोल्टता समीकरण
e = E sinωct = (Ec + Em sinωmt) sinωct
\(=E_{c}\left[1+\frac{E_{m}}{E_{c}} \sin \omega_{m} t\right] \sin \omega_{c} t\)
e= Ec(1+ mα sinωmt)sinωct

जहाँ mα \(\frac{E_{m}}{E_{c}}\) मॉडुलन गुणांक (modulation factor) अथवा मॉडुलन सूचकांक (modulation index)
अथवा मॉडुलन की गहराई (depth of modulation) अथवा मॉडुलन की मात्रा (degree of modulation) कहलाता है।

यह मॉडुलित तरंग का समीकरण है तथा इसके वोल्टेज स्वरूप को चित्र-15.6 में प्रदर्शित किया गया है। इस प्रकार आयाम मॉडुलित तरंग में तीन घटक तरंगें उपस्थित हैं

इस प्रकार स्पष्ट है कि मॉडुलित तरंग में मूल वाहक तरंग की आवृत्ति अपरिवर्तित रहती है। है तो दो अन्य आवृत्तियों (fc-fm)तथा (fc+fm) की तरंगें उत्पन्न होती है। इन आवृत्तियों को पार्श्व बैण्ड आवृत्तियाँ (side band frequency) कहते हैं। (fc-fm) को निम्न पार्श्व बैण्ड आवृत्ति (Lower Side Band Frequency अर्थात् LSB) तथा (fc+fm) को उच्च पार्श्व बैण्ड आवृत्ति (Upper Side Band Frequency अर्थात् USB) कहते हैं।

आयाम मॉडुलित तरंग का आवृत्ति स्पेक्ट्रम (Frequency Spectrum of Amplitude Modulated Wave)-आयाम मॉडुलित तरंग का आवृत्ति स्पेक्ट्रम चित्र-15.7 में प्रदर्शित किया गया है। जिससे स्पष्ट है कि मॉडुलित तरंग वाहक तरंग की आवृत्ति fc के दोनों ओर समान आवृत्ति अन्तराल fm पर स्थित है।
आयाम मॉडुलित तरंग की बैण्ड-चौड़ाई
= (fc+fm-fc-fm)= 2fm
अतः आयाम मॉडुलित तरंग की बैण्ड-चौड़ाई सूचना सिग्नल (मॉडुलक सिग्नल) की आवृत्ति की दोगुनी होती है।
प्रश्न 10.
आयाम मॉडुलित तरंग का उत्पादन समझाइए। अथवा आयाम मॉडुलन क्या है? परिपथ आरेख द्वारा एक आयाम मॉडुलित तरंग कैसे प्राप्त करते हैं, समझाइए। [2018]
उत्तर
आयाम मॉडुलन-जब उच्च आवृत्ति की वाहक तरंगों के आयाम को निम्न आवृत्ति के श्रव्य सिग्नलों के संगत आयाम के अनुरूप परिवर्तित किया जाता है तो उनके परस्पर अध्यारोपण की प्रक्रिया आयाम मॉडुलन कहलाती है।
आयाम मॉडुलित तरंगों का उत्पादन (Production of Amplitude Modulation)- आयाम मॉडुलित तरंग के उत्पादन के लिए संयोजन को चित्र-15.8 में प्रदर्शित किया गया है। यह परिपथ n-p-n ट्रांजिस्टर वाहक तरंगों के लिए उभयनिष्ठ उत्सर्जक प्रवर्धक की भाँति कार्य करता है। इस परिपथ में वाहक तरंग को आधार B पर लगाया जाता है जोकि संधारित्र C से होकर जाता है। इस प्रकार संधारित्र C केवल AC घटकों को ही जाने देता है। इसके आधार पर मॉडुलक सिग्नल em = Em sinωmt को इस प्रकार लगाया जाता है कि आधार बायस वोल्टेज के साथ मॉडुलक सिग्नल भी निवेशित हो।
इस प्रकार आधार वोल्टता स्थिर नहीं,रहती बल्कि यह मॉडुलक सिग्नल के तात्कालिक मान के अनुसार परिवर्तित होती रहती है। अतः आधार उत्सर्जक के बीच निवेशी वोल्टता, मॉडुलक सिग्नल के अनुसार परिवर्तित होती है जिसके कारण निर्गत वोल्टता भी उसी के अनुसार प्रवर्धित होती है। इस प्रकार निर्गम में आयाम मॉडुलित तरंग प्राप्त हो जाती है।

प्रश्न 11.
आयाम मॉडुलित तरंग का संसूचन (अथवा विमॉडुलन) को स्पष्ट कीजिए।
उत्तर
आयाम मॉडुलित तरंग का संसूचन अथवा विमॉडुलन (Demodulation of Amplitude Modulated Wave)-अभिग्राही द्वारा मॉडुलित तरंग से श्रव्य सिग्नल (मूल सिग्नल) प्राप्त करने की प्रक्रिया को विमॉडुलन अथवा संसूचन
कहते हैं।
विमॉडुलन की आवश्यकता- संचार माध्यम से प्रसारित होते समय आयाम मॉडुलित संदेश क्षीण हो जाता है। अतः अभिग्राही ऐन्टिना द्वारा प्राप्त सिग्नल को प्रवर्धित एवं संसूचित करना पड़ता है। इस प्रक्रिया में निम्नलिखित दो क्रियाएँ होती हैं
- मॉडुलित तरंग का दिष्टकरण
- मॉडुलित तरंग से वाहक तरंग घटक को अलग करना।
आयाम मॉडुलित तरंग के लिए डायोड संसूचक- p-n सन्धि डायोड संसूचक सामान्यतया विमॉडुलन के लिए प्रयुक्त किया जाता है। इसका परिपथ चित्र-15.9 में प्रदर्शित है। इसके निवेशी परिपथ में स्वप्रेरकत्व L तथा परिवर्ती संधारित्र C परस्पर समान्तर क्रम में संयोजित होते हैं। इस परिपथ को स्वसरित परिपथ (tuned circuit) कहते हैं। ग्राही ऐन्टिना पर आने वाली विभिन्न रेडियो सिग्नलों में से वांछित रेडियो आवृत्ति सिग्नल को संधारित्र C को समायोजित करके अनुनाद के आधार पर चयन कर लिया जाता है।
p-n सन्धि डायोड इस सिग्नल का दिष्टकरण कर देता है। इस दिष्टकारी सिग्नल को उच्च प्रतिरोध के लोड प्रतिरोध R, तथा उपमार्गी संधारित्र CB (bypass condenser) के समान्तर-क्रम संयोजन पर लगाया जाता है। संधारित्र का प्रतिघात \(\left(X_{C}=\frac{1}{2 \pi f C_{B}}\right)\) उच्च आवृत्तियों के लिए कम तथा निम्न आवृत्तियों के लिए अधिक होता है। अतः संधारित्र का प्रतिघात वाहक तरंगों के लिए कम व श्रव्य तरंगों के लिए अधिक होता है। अत: उच्च आवृत्ति की वाहक रेडियो तरंगों के अवयव उपमार्गी संधारित्र से गुजरकर पृथ्वी में चले जाते हैं तथा निम्न आवृत्ति की श्रव्य तरंगों के अवयव लोड प्रतिरोध (RL) के सिरों पर प्राप्त हो जाते हैं। यह श्रव्य तरंगें हैडफोन में धारा भेजते हैं जिनके संगत मूल श्रव्य सिग्नल उत्पन्न होते हैं।

संसूचन के लिए आवश्यक प्रतिबन्ध- फिल्टर परिपथ से जुड़े संधारित्र की धारिता इतनी होनी चाहिए कि
(1) जब रेडियो आवृत्ति fc के लिए, प्रतिघात \(\left(x_{C}=\frac{1}{2 \pi f_{c} C_{B}}\right)\) प्रतिरोध RL की तुलना में बहुत कम हो,
अर्थात् xc << RL अथवा \(\frac{1}{2 \pi f_{c} C_{B}}<<R_{L}\).
(2) जब श्रव्य आवृत्ति fm के लिए, प्रतिघात, प्रतिरोध RL की तुलना में बहुत अधिक हो,
अर्थात् \(\frac{1}{\omega_{m} C_{B}}>>R_{L}\) अथवा \(\frac{1}{2 \pi f_{m} C_{B}}>>R_{L}\)
![]()
संचार व्यवस्था लघु उत्तरीय प्रश्नोत्तर
प्रश्न 1.
संचार व्यवस्था से क्या तात्पर्य है? इसके कौन-कौन से अवयव है?
उत्तर
संचार व्यवस्था-सन्देशों अथवा सूचनाओं को किसी विधि द्वारा एक स्थान से सम्प्रेषित करके दूसरे स्थान पर ग्रहण करने की व्यवस्था को संचार व्यवस्था कहते हैं। इसके तीन अवयव हैं-
- प्रेषित्र
- संचार चैनल तथा
- अभिग्राही।
प्रश्न 2.
ट्रान्सड्यूसर क्या है?
उत्तर
ट्रान्सड्यूसर-एक ऐसी युक्ति जो ऊर्जा के एक रूप को दूसरे में परिवर्तित कर देती है, ट्रान्सड्यूसर कहलाती है।
प्रश्न 3.
सिग्नल की बैण्ड-चौड़ाई से आप क्या समझते हैं? [2014, 17]
उत्तर
बैण्ड-चौड़ाई-अधिकतम तथा न्यूनतम आवृत्तियों के अन्तर को आवृत्ति परास अथवा सिग्नल की बैण्ड-चौड़ाई कहते हैं।
प्रश्न 4.
क्षीणता क्या होती है?
उत्तर
क्षीणता-संचार माध्यम में संचरण के समय सिग्नल की प्रबलता में क्षति होने की प्रक्रिया क्षीणता कहलाती है।
प्रश्न 5.
मॉडुलेशन से क्या तात्पर्य है? [2015]
अथवा मॉडुलन का क्या अर्थ है?[2015, 16, 17]
उत्तर
मॉडुलन अथवा मॉडुलेशन-वह क्रिया जिसमें प्रेषित्र (प्रेषी) पर, निम्न आवृत्ति की विद्युतचुम्बकीय तरंगों को उच्च आवृत्ति की वाहक तरंगों पर अध्यारोपित कराया जाता है, मॉडुलन अथवा मॉडुलेशन कहलाती है।
प्रश्न 6.
मॉडुलित तरंग क्या है? [2014]
उत्तर
मॉडुलित तरंग- मॉडुलन अथवा मॉडुलेशन की प्रक्रिया के फलस्वरूप प्राप्त परिणामी तरंग मॉडुलित तरंगा कहलाती है।
प्रश्न 7.
आयाम मॉडुलन का अर्थ स्पष्ट कीजिए। [2014, 16, 17]
उत्तर
आयाम मॉडुलन (AM)-किसी उच्च आवृत्ति की वाहक तरंग के आयाम को ध्वनि तरंग के आयाम के अनुसार, परिवर्तित कर अध्यारोपित करने की प्रक्रिया आयाम मॉडुलन कहलाती है।
प्रश्न 8.
आवृत्ति मॉडुलन (FM) से आप क्या समझते हैं? [2016]
उत्तर
आवृत्ति मॉडुलन (FM)—जब उच्च आवृत्ति की वाहक तरंगों की आवृत्ति को श्रव्य संकेतों के संगत आयामों के अनुरूप परिवर्तित किया जाता है तो उनके परस्पर अध्यारोपण की प्रक्रिया आवृत्ति मॉडुलन कहलाती है। भारत में कुछ रेडियो स्टेशनों से तथा टेलीविजन प्रसारण में ध्वनि संकेतों को आवृत्ति मॉडुलित कर प्रसारित किया जाता है।
प्रश्न 9.
विमॉडुलन का क्या अर्थ है? [2015,17]
उत्तर
विमॉडुलन अथवा डिमॉडुलेशन-वह प्रक्रिया जिसमें अभिग्राही से प्राप्त मॉडुलेटिड तरंगों में से मूल वैद्युतचुम्बकीय तरंगों को अलग कर दिया जाता है विमॉडुलन अथवा डिमॉडुलेशन कहलाती है।
प्रश्न 10.
आयाम मॉडुलेशन संचार व्यवस्था में बैण्ड-चौड़ाई का सूत्र क्या है? [2017]
उत्तर
आयाम मॉडुलित तरंग की बैण्ड-चौड़ाई = (fc + fm)- (fc – fm)= 2fm.
![]()
प्रश्न 11.
वाहक तरंगें क्या होती हैं? समझाइए। [2018]
उत्तर
वाहक तरंगें उच्च आवृत्ति तथा नियत आयाम की वे विद्युतचुम्बकीय तरंगें जो पृथ्वी तल पर श्रव्य आवृत्ति की तरंगों को एक स्थान से दूसरे स्थान तक ले जाती हैं वाहक तरंगें कहलाती हैं। .
प्रश्न 12.
प्रसारण से पूर्व ध्वनि तरंगों को मॉडुलित करना क्यों आवश्यक है?
उत्तर
ध्वनि तरंगों को बिना मॉडुलित किए प्रसारित करने के लिए अधिक ऊँचाई (7.5 किमी) के प्रसारण ऐन्टिना की आवश्यकता होती है, जिसे लगा पाना असम्भव है। इसके अतिरिक्त इन तरंगों की ऊर्जा कुछ दूरी तक जाते-जाते समाप्त हो जाती है।
प्रश्न 13.
भू-तरंगें क्या हैं?
उत्तर
भू-तरंगें- यदि प्रेषित्र ऐन्टिना से कोई रेडियो तरंग अभिग्राही ऐन्टीना पर सीधे अथवा पृथ्वी से परावर्तित होकर पहुँचती है तो वे भू-तरंगें कहलाती हैं।
प्रश्न 14.
ट्रान्सपोंडर किसे कहते हैं?
उत्तर
ट्रान्सपोंडर-ट्रान्सपोंडर संचार उपग्रह में लगाई जाने वाली एक ऐसी युक्ति है जो सिग्नल को ग्रहण करके उन्हें प्रवर्धित करती है तथा उनका पुनः प्रसारण करती है।
प्रश्न 15.
भू-स्थैतिक (geo-stationary) अथवा तुल्यकाली उपग्रह का क्या अर्थ है?
उत्तर
भू-स्थैतिक अथवा तुल्यकाली उपग्रह- यह एक ऐसा उपग्रह होता है जो पृथ्वी के किसी एक स्थान के सापेक्ष स्थिर रहता है। इस उपग्रह का पृथ्वी के विषुवत् तल में परिक्रमण काल 24 घण्टा होता है। इसे तुल्यकाली उपग्रह (geo-synchronus satellite) भी कहते हैं।
प्रश्न 16.
क्या लम्बी दूरी के दूरदर्शन प्रसारण के लिए उपग्रह को प्रयोग करना आवश्यक है?
उत्तर
हाँ, दूरदर्शन प्रसारण में अति उच्च आवृत्ति की (UHF) तरंगों का प्रयोग किया जाता है। ये तरंगें पृथ्वी के आयनमण्डल को पार करके अन्तरिक्ष में निकल जाती हैं। अतः इन्हें पृथ्वी पर वापस भेजने के लिए उपग्रहों का उपयोग करना आवश्यक है।
प्रश्न 17.
अधिकतम दृष्टि रेखा दूरी के लिए सूत्र लिखिए।
उत्तर
अधिकतम दृष्टि रेखा दूरी dm = dT + dR = \(\sqrt{2 R h_{T}}+\sqrt{2 R h_{R}}\)
प्रश्न 18.
आकाश तरंगों का संचरण किन विधियों से किया जाता है? [2017]
उत्तर
- भू-स्थिर संचार उपग्रहों के द्वारा तथा
- सीधे प्रेषित ऐन्टिना के द्वारा।
प्रश्न 19.
क्रान्तिक आवृत्ति से क्या तात्पर्य है?
उत्तर
क्रान्तिक आवृत्ति-वह अधिकतम आवृत्ति, जो आयनमण्डल द्वारा परावर्तित हो सकती है क्रान्तिक आवृत्ति कहलाती है। इसे ‘fc‘ से प्रदर्शित करते हैं। \(f_{c}=9 \sqrt{N_{\mathrm{max}}}\)
जहाँ Nmax आयनमण्डल की उस परत का (जहाँ पर परावर्तन होता है) अधिकतम इलेक्ट्रॉन घनत्व है।
प्रश्न 20. सिद्ध कीजिए कि आकाश तरंगों के संचरण हेतु एक टी०वी० प्रेषी ऐन्टिना जो पृथ्वी तल से ऊँचाई पर है, का प्रसारण परास \(d=\sqrt{2 R h}\) है, जहाँ R पृथ्वी की त्रिज्या है। [2015]
उत्तर
प्रेषित्र ऐन्टिना की पृथ्वी से ऊँचाई (h) तथा पृथ्वी पर उसके परास (d) में सम्बन्ध-माना प्रेषित्र ऐन्टिना (T) की । पृथ्वी से ऊँचाई h है तथा पृथ्वी का केन्द्र 0 व त्रिज्या R है। पृथ्वी की वक्रता के कारण पृथ्वी सतह के बिन्दुओं A व B से दूर सिग्नल प्राप्त नहीं किए जा सकते। यहाँ AT व BT क्रमशः बिन्दुओं A व B पर स्पर्श रेखाएँ हैं। माना d ऐन्टिना के आधार से पृथ्वी की दूरी है जहाँ तक सिग्नल प्राप्त होते हैं।
त्रिभुज TOA में,
OT2 = (OA)2 + (AT)2
जहाँ OT = R+ h, OA = R, AP ≈ AT = d ∵ h << R
अतः (R+ h)2 = R2 + d2
अतः R2 + h2 +2Rh = R2 +d2
अथवा h2 +2Rh = d2
अथवा 2Rh ≈ d2
प्रसारण परास \(d=\sqrt{2 R h}\)

संचार व्यवस्था अति लघु उत्तरीय प्रश्नोत्तर
प्रश्न 1.
संचार से क्या तात्पर्य है?
उत्तर
संचार-सूचना के प्रसारण तथा अभिग्रहण की प्रक्रिया को संयुक्त रूप से संचार कहा जाता है।
प्रश्न 2.
संचार व्यवस्था का नाम बताइए जिसमें\
- सिग्नल, सूचना अथवा संदेश के समरूप तथा सतत होते हैं,
- सिग्नल, मूल सूचना के द्विआधारी पद्धति में परिवर्तित रूप में होते हैं।
उत्तर
- ऐनालोग (analog) संचार व्यवस्था,
- डिजिटल (digital) संचार व्यवस्था।
प्रश्न 3.
दिए गए ब्लॉक आरेख में संचार व्यवस्था के x तथा Y भागों को पहचानिए [2017]
![]()
उत्तर
X-सूचना स्रोत, Y-चैनल।
प्रश्न 4.
मॉडुलन सूचकांक क्या है? इसकी क्या महत्ता है? अथवा मॉडुलन गुणांक की परिभाषा दीजिए। [2017]
उत्तर
मॉडुलन सूचकांक अथवा गुणांक-मॉडुलक तरंग के आयाम (Em) तथा वाहक तरंग के आयाम (Ec) के अनुपात को मॉडुलन सूचकांक अथवा गुणांक कहते हैं। इसे ‘ma‘ से प्रदर्शित करते हैं।
\(m_{a}=\frac{E_{m}}{E_{c}}\)
महत्ता- मॉडुलन सूचकांक, मॉडुलन तरंग की गुणवत्ता को प्रदर्शित करता है।
प्रश्न 5.
मॉडुलक का अर्थ स्पष्ट कीजिए।
उत्तर
मॉडुलक- किसी उच्च आवृत्ति की वाहक तरंग को मॉडुलित करने वाली युक्ति मॉडुलक कहलाती है।
![]()
प्रश्न 6.
आयाम मॉडुलन का अर्थ स्पष्ट कीजिए। [2014, 16]
उत्तर
आयाम मॉडुलन- किसी उच्च आवृत्ति की वाहक तरंग के आयाम को ध्वनि तरंग के आयाम के अनुसार परिवर्तित कर अध्यारोपित करने की प्रक्रिया आयाम मॉडुलन कहलाती है।
प्रश्न 7.
ध्वनि सिग्नल के व्यापार प्रसारण में कौन-सा मॉडुलन प्रयोग किया जाता है?
उत्तर
आयाम मॉडुलन।
प्रश्न 8.
दूरदर्शन के प्रसारण में कौन-सा मॉडुलन प्रयोग किया जाता है?
उत्तर
आवृत्ति मॉडुलन।
प्रश्न 9.
ऐन्टिना का क्या कार्य है? इसकी न्यूनतम लम्बाई कितनी होती है? [2017]
उत्तर
ऐन्टिना का कार्य–ऐण्टिना तरंगों को प्रेषित व ग्रहण करने के लिए प्रेषित व अभिग्राही में प्रयुक्त किया जाता है। ऐन्टिना की न्यूनतम लम्बाई = \(\frac { λ }{ 4 }\)
प्रश्न 10.
ऐन्टिना द्वारा प्रभावी विकिरित शक्ति तरंगदैर्घ्य के साथ किस प्रकार परिवर्तित होती है?
उत्तर
\(P \propto \frac{1}{\lambda^{2}}\)
प्रश्न 11.
वाहक तरंगों की आवृत्ति कितनी होनी चाहिए?
उत्तर
वाहक तरंगों की आवृत्ति उच्च (किलोहर्ट्स से गीगाहर्ट्स की परास में) होनी चाहिए।
प्रश्न 12.
आयाम मॉडुलेशन संचार व्यवस्था में बैण्ड-चौड़ाई का सूत्र क्या है?
उत्तर
आयाम मॉडुलित तरंग की बैण्ड-चौड़ाई = (fc + fm) – (fc – fm)= 2fm.
प्रश्न 13.
आयाम मॉडुलित तरंग में तीन आवृत्तियाँ कौन-सी हैं? अथवा आयाम मॉडुलित तरंगों में उपस्थित आवृत्तियों का उल्लेख कीजिए। [2016]
उत्तर
तीन आवृत्तियाँ हैं
निम्न पार्श्व बैण्ड आवृत्ति (fc – fm) उच्च पार्श्व बैण्ड आवृत्ति (fc + fm) तथा वाहक तरंग की आवृत्ति (fc) जहाँ (fm) मॉडुलन तरंग की आवृत्ति है।
प्रश्न 14.
LSB तथा USB क्या हैं?
उत्तर
निम्न पार्श्व बैण्ड आवृत्ति LSB = (fc – fm) तथा उच्च पार्श्व बैण्ड आवृत्ति USB = (fc + fm)
प्रश्न 15.
आवृत्ति मॉडुलन (FM) से आप क्या समझते हैं? [2016]
उत्तर
आवृत्ति मॉडुलन (FM)- जब उच्च आवृत्ति की वाहक तरंगों की आवृत्ति को श्रव्य संकेतों के संगत आयामों के अनुरूप परिवर्तित किया जाता तो उनके परस्पर अध्यारोपण की प्रक्रिया आवृत्ति मॉडुलन कहलाती है। भारत में कुछ रेडियो स्टेशनों से तथा टेलीविजन प्रसारण में ध्वनि संकेतों को आवृत्ति मॉडुलित कर प्रसारित किया जाता है।
प्रश्न 16.
विमॉडुलन का क्या अर्थ है? [2015]
उत्तर
विमॉडुलन अथवा डिमॉडुलेशन-वह प्रक्रिया जिसमें अभिग्राही से प्राप्त मॉडुलेटिड तरंगों में से मूल विद्युतचुम्बकीय तरंगों को अलग कर दिया जाता है विमॉडुलन अथवा डिमॉडुलेशन कहलाती है।
प्रश्न 17.
टी०वी० संकेतों का आवृत्ति परास कितना है इनका सम्प्रेषण किस प्रकार करते हैं?
उत्तर
30 मेगाहर्ट्स से 300 मेगाहर्ट्स तक। इनका सम्प्रेषण ऐनालोग की संचार विधि से करते हैं।
प्रश्न 18.
15 किलोहर्ट्स से उच्च आवृत्ति की तरंगों का प्रसारण भू-तरंगों द्वारा क्यों सम्भव नहीं है?
उत्तर
15 किलोह से उच्च आवृत्ति की तरंगें थोड़ी ही दूरी पर पृथ्वी की सतह द्वारा अवशोषित कर ली जाती हैं। अत: इनका प्रसारण भू-तरंगों द्वारा सम्भव नहीं है।
प्रश्न 19.
30 मेगाहर्ट से उच्च आवृत्ति की तरंगों का प्रसारण व्योम तरंगों द्वारा सम्भव नहीं है, क्यों?
उत्तर
30 मोगाहर्ट्स से उच्च आवृत्ति की तरंगें पृथ्वी के आयनमण्डल द्वारा वापस पृथ्वी की ओर परावर्तित नहीं होती, अपितु आयनमण्डल को पार करके अन्तरिक्ष से निकल जाती हैं। इसी कारण इनका प्रसारण व्योम तरंगों द्वारा सम्भव नहीं है।
प्रश्न 20.
व्योम तरंगें क्या है? इसकी आवृत्ति परास बताइए। [2014, 17]
उत्तर
व्योम तरंगें (Sky waves)-वे रेडियो तरंगें जो पृथ्वी के आयनमण्डल द्वारा वापस पृथ्वी की ओर परावर्तित कर दी जाती हैं, व्योम तरंगें कहलाती हैं। इनकी आवृत्ति 3 मेगाहर्ट्स से 30 मेगाहर्ट्स के बीच होती है।
![]()
प्रश्न 21.
व्योम तरंग का संचरण क्या है?
उत्तर
व्योम तरंग का संचरण-व्योम तरंगों का संचरण वायुमण्डल में उपस्थित आयनमण्डल के कारण होता है जिसके गुण समय के साथ-साथ बदलते रहते हैं। इस प्रकार व्योम तरंगों द्वारा संचरण अविश्वसनीय है। आयनमण्डल की ऊँचाई पृथ्वी की सतह से लगभग 80 किमी से 400 किमी तक होती है।
प्रश्न 22.
आकांश तरंगें क्या हैं? इन तरंगों के संचरण के लिए प्रयुक्त आवृत्ति परास क्या है? [2014, 15, 17]
उत्तर
आकाश तरंगें (Space Waves)-आकाश तरंगें प्रेषी ऐन्टिना से सीधे, पृथ्वी तल से परावर्तन के पश्चात् अभिग्राही पर लौट आती हैं, इसीलिए इनके संचरण को क्षोभमण्डलीय संचरण भी कहते हैं। इनकी आवृत्ति 40 मेगाहर्ट्स से 300 मेगाहर्ट्स होती है।
प्रश्न 23.
आकाश तरंग संचरण क्या है?
उत्तर
आकाश तरंग संचरण-तरंग संचरण की वह प्रक्रिया, जिसमें आकाश तरंगें, प्रेषण ऐन्टिना से अभिग्राही ऐन्टिना तक दृष्टि रेखा पथ पर गमन करती हैं, आकाश तरंग संचरण कहलाता है।
प्रश्न 24.
तरंगसंचरण में ‘दृष्टि रेखा पथ (LOS) से क्या तात्पर्य है? किन तरंगों में इसका प्रयोग होता है? [2008]
उत्तर
दृष्टि रेखा पथ (LOS)-प्रेषी से ग्राही तक तरंगों के सीधे सरल रेखीय पथ को दृष्टि रेखा पथ (LOS) कहते हैं। आकाश तरंग संचरण दृष्टि रेखा पथ (LOS) से सीमित होता है।
प्रश्न 25.
भू-तरंगों की आवृत्ति कितनी होती है?
उत्तर
500 किलोह से 1500 किलोहर्ट्स तक।
प्रश्न 26.
विद्युतचुम्बकीय तरंगों के संचरण की तीन विधियाँ लिखिए। [2015]
उत्तर
- भू-तरंगों का संचरण
- व्योम तरंगों का संचरण तथा
- आकाश तरंगों का संचरण।
प्रश्न 27.
सूक्ष्म तरंगों (microwaves) के संचार में बार-बार अभिग्रहण तथा पुनः प्रसारण की आवश्यकता क्यों होती है?
उत्तर
क्योंकि ये तरंगें दृष्टि रेखा संचार व्यवस्था द्वारा प्रसारित होती हैं।
प्रश्न 28.
सम्पूर्ण पृथ्वी को दूर संचार सिग्नलों से आच्छादित करने के लिए कितने भू-स्थैतिक उपग्रह आवश्यक हैं?
उत्तर
कम-से-कम तीन।
प्रश्न 29.
कौन-सी तरंगों का प्रसारण दृष्टि रेखा संचरण के द्वारा होता है?
उत्तर
आकाश तरंगों का।
प्रश्न 30.
प्रकाशिक तन्तु (optical fibre) का सिद्धान्त बताइए।
उत्तर
प्रकाशिक तन्तु पूर्ण आन्तरिक परावर्तन के सिद्धान्त पर कार्य करता है।
संचार व्यवस्था आंकिक प्रश्नोत्तर
प्रश्न 1.
एक दूरदर्शन टावर की ऊँचाई 75 मीटर है। अधिकतम दूरी क्या है जो यह दूरदर्शन प्रसारण ग्रहण कर सकता है? [2015]
हल
अधिकतम दूरी d = \(\sqrt{2 R h}=\sqrt{2 \times 6.4 \times 10^{6} \times 75}\)
= 30.98 × 103 मीटर।
प्रश्न 2.
प्रेषण एन्टिना की ऊँचाई क्या होगी यदि टी०वी० प्रसारण 128 किमी तक पहुँचाना है? [2018]
हल
दिया है, d = 128 किमी = 128 × 103 मीटर, R= 6.4 × 106 मीटर

प्रश्न 3.
एक टी०वी० टावर की ऊँचाई 45 मीटर है। इसकी विस्तार दूरी क्या होगी? इन संकेतों को 40 किमी की दूरी पर प्राप्त करने के लिए अभिग्राही ऐन्टिना की न्यूनतम ऊँचाई क्या होगी? (पृथ्वी की त्रिज्या = 6400 किमी)
हल
दिया है, टी०वी० टावर की ऊँचाई (hT) = 45 मीटर, पृथ्वी की त्रिज्या (R) = 6400 किमी = 6400 × 103 मीटर


प्रश्न 4.
किसी प्रेषी एन्टिना की ऊँचाई 72 मीटर है। यदि पृथ्वी की त्रिज्या 6250 किमी ली जाए तो एन्टिना द्वारा प्रसारण के लिए प्रसारण क्षेत्रफल ज्ञात कीजिए। [2018]
हल :
प्रसारण क्षेत्रफल (A) = πd2 = π × 2 Rh
= 3.14 × 2 × 6250 x 103 × 72 = 2.826 × 109 मीटर2
= 2826 किमी2।
प्रश्न 5.
एक टी०वी० टावर की ऊँचाई एक दिए गए स्थान पर 500 मीटर है। यदि पृथ्वी की त्रिज्या 6400 किमी हो, तो – इसके प्रसारण परास की गणना कीजिए। [2015, 17]
हल
दिया है, h = 500 मीटर, R= 6400 किमी = 6400 × 103 मीटर
प्रसारण परास = \(\sqrt{2 h R}=\sqrt{2 \times 500 \times 6400 \times 10^{3}}\)
= 80 × 103 मीटर = 80 किमी।
![]()
प्रश्न 6.
एक वाहक तरंग प्रदर्शित की जाती है
C(t) = 4 sin (8πt) वोल्ट
यदि मॉडुलक सिग्नल तरंग का आयाम 1.0 वोल्ट हो, तब मॉडुलन सूचकांक का मान क्या है?
उत्तर
दिया है, Em = 1.0 वोल्ट, Ec = 4.0 वोल्ट, mα = ?
मॉडुलन सूचकांक mα = \(\frac{E_{m}}{E_{c}}\) = \(\frac { 1 }{ 4 }\) ≈ 0.25.
प्रश्न 7.
किसी मॉडुलित वाहक तरंग का समीकरण e = 100 (1+ 0.5 cos 3000 π t) cos 4 × 106 π t है। ज्ञात कीजिए,
- वाहक तरंग की आवृत्ति।
- इस आवृत्ति पर आवश्यक एन्टिना की लम्बाई। [2018]]
हल
दी गई समीकरण की तुलना e = Ec (1+ mα cos ωmt) cos ωct से करने पर,
ωc= 4 x 106
1. वाहक तरंग की आवृत्ति (fc) = \(\frac{\omega_{c}}{2 \pi}=\frac{4 \times 10^{6}}{2 \times 3.14}\)= 6. 37x 105 हर्टस।
2. तरंग की तरंगदैर्घ्य λ = \(\frac{c}{f_{c}}=\frac{3 \times 10^{8}}{6.37 \times 10^{5}}\) = 471 मीटर
एन्टिना की लम्बाई l =\(\frac { λ }{ 4 }\)= \(\frac { 471 }{ 4 }\)= 117.75 मीटर।
प्रश्न 8.
2 × 105 हर्ट आवृत्ति तथा अधिकतम वोल्टेज 60 वोल्ट के वाहक तरंग को श्रव्य तरंग em = 30 sin 2 π X 2500 t वोल्ट द्वारा मॉडुलित किया जाता है। ज्ञात कीजिए-
- मॉडुलन प्रतिशतता तथा
- मॉडुलित तरंग के घटकों की आवृत्ति। [2017]
हल
1. मॉडुलित प्रतिशतता = \(\frac{E_{m}}{E_{c}}\) x 100 = \(\frac { 30 }{ 60 }\) = 50%
2. fc= 2×105 हर्ट्स = 200 kHz
fm = 2500 हर्ट्स = 2.5 kHz
USB= fc + fm = 200+ 2.5 = 202.5 kHz
LSB= fc– fm = 200 – 2.5 = 197.5 kHz.
प्रश्न 9.
आयाम मॉडुलित वोल्टेज का मान e = 150[1+0. 5cos 3250t]cos5x105t से दिया जाता है। गणना कीजिए
- मॉडुलन सूचकांक,
- मॉडुलन आवृत्ति,
- वाहक आवृत्ति तथा
- वाहक आयाम। ‘
हल
आयाम मॉडुलित वोल्टेज की सामान्य समीकरण
e = Ec (1+ mα cosωmt)cosωct से दी गयी समीकरण
e = 150 [1+ 0.5cos 3250 t]cos 5×105t की तुलना करने पर,
Ec = 150 वोल्ट, mα = 0.5, ωm = 3250, ωc= 5×105
- मॉडुलन सूचकांक ma = 0.5 = 50%.
- मॉडुलन आवृत्ति (fm) = \(\frac{\omega_{m}}{2 \pi}=\frac{3250}{2 \times 3.14}\)= 517.5 हर्ट्स।
- वाहक आवृत्ति (fc) = \(\frac{\omega_{c}}{2 \pi}=\frac{5 \times 10^{5}}{2 \times 3.14}\)= 79.6×103 हर्ट्स = 79.6 किलोहर्ट्स।
- वाहक आयाम Ec = 150 वोल्ट।
प्रश्न 10.
मॉडुलित वाहक तरंग के अधिकतम व न्यूनतम आयाम क्रमशः 900 मिर वोल्ट तथा 300 मिलीवोल्ट हैं। मॉडुलन प्रतिशत ज्ञात कीजिए। [2015]
हल
दिया है, मॉडुलित वाहक तरंग के लिए Emax = 900 मिलीवोल्ट, Emin = 300 मिलीवोल्ट
मॉडलन गणांक (mα) =
![]()
∴ मॉडुलन प्रतिशत = 0.5 x 100 = 50%.
प्रश्न 11.
किसी दिन आयनमण्डल से परावर्तित अधिकतम आवृत्ति 10 मेगाहर्ट्स है। किसी दूसरे दिन यह घटकर 8 मेगाहर्ट्स पायी जाती है। इन दो दिनों में आयनमण्डल के अधिकतम इलेक्ट्रॉन घनत्वों की निष्पत्ति बताइए।
हल
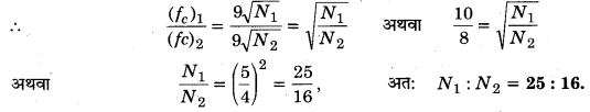
क्रान्तिक आवृत्तियाँ (fc)1 = 10 मेगाहर्ट्स, (fc)2 = 8 मेगाहर्ट्स
क्रान्तिक आवृत्ति fc = \(9 \sqrt{N_{\max }}\)

प्रश्न 12.
एक वाहक तरंग जिसकी शिखर वोल्टता 12 वोल्ट है किसी संदेश सिग्नल को प्रेषित करने के लिए उपयोग की जाती है। मॉडुलित सिग्नल की शिखर वोल्टता क्या होनी चाहिए जिससे मॉडुलन सूचकांक 75% प्राप्त हो? [2014]
हल
दिया है, वाहक तरंग की शिखर वोल्टता (Ec) = 12 वोल्ट
मॉडुलन सूचकांक (mα) = 75% = 0.75
मॉडुलन सूचकांक (mα)= \(\frac{E_{m}}{E_{c}}\)
मॉडुलन सिग्नल की शिखर वोल्टता Em = mα x Ec = 0.75 x 12 = 9 वोल्ट।
प्रश्न 13.
एक मॉडुलित तरंग का अधिकतम आयाम 11 वोल्ट तथा न्यूनतम आयाम 3 वोल्ट है। मॉडुलन सूचकांक ज्ञात कीजिए। [2014]
हल
दिया है, Emax = 11 वोल्ट, Emin = 3 वोल्ट, mα = ?
∴ Emax = Ec + Em = 11 वोल्ट तथा Emin = Ec – Em = 3 वोल्ट

प्रश्न 14.
एक आयाम मॉडुलित वाहक तरंग का अधिकतम एवं न्यूनतम आयाम क्रमशः 8 वोल्ट तथा 2 वोल्ट है। मॉडुलेशन सूचकांक का मान ज्ञात कीजिए। [2016]
हल
दिया है, Emax= 8 वोल्ट, Emin = 2 वोल्ट, mα = ?
मॉडलेशन सूचकांक (mα) = \(\frac{E_{\max }-E_{\min }}{E_{\max }+E_{\min }}\)
=\(\frac { 8-2 }{ 8+2 }\)= \(\frac { 6 }{ 10 }\) = 0.6.
प्रश्न 15.
एक वाहक तरंग का आयाम 500 मिलीवोल्ट है। मॉडुलक सिग्नल के कारण यह 200 मिलीवोल्ट से 800 मिलीवोल्ट तक बदलता है। मॉडुलन गुणांक तथा प्रतिशत मॉडुलन की गणना कीजिए। [2018]
हल
दिया है, Ec = 500 मिली वोल्ट, Emin = 200 मिलीवोल्ट, Emax = 800 मिली वोल्ट
Emax = Ec + Em
Em = Emax – Ec
= 800 – 500 = 300 मिलीवोल्ट
मॉडुलन गुणांक (mα) =

प्रतिशत मॉडुलन = 0.6 x 100 = 60%
अथवा मॉडलेशन गणांक (mα) = \(\frac{E_{\max }-E_{\min }}{E_{\max }+E_{\min }}\) = \(\frac { 800-200 }{ 800+200 }\) = \(\frac { 600 }{ 1000 }\) =0.6
प्रतिशत मॉडुलन = 0.6 × 100 = 60%.
![]()
प्रश्न 16.
एक मॉडुलक सिग्नल एक वर्गाकार तरंग है। वाहक तरंग e(t)= 2 sin (8πt) वोल्ट है। आयाम मॉडुलित तरंग का रेखाचित्र खींचिए। [2014]
हल
चित्र-15.11 में एक मॉडुलक सिग्नल एक वर्गाकार तरंग प्रदर्शित है
दिया है, e (t) = 2 sin (8πt)
यहाँ Ec = 2 वोल्ट
तथा Em = 1 वोल्ट
अतः Ec + Em = 2 + 1 = 3 वोल्ट
तथा Ec – Em = 2 – 1 = 1 वोल्ट
ωc = 8π, अत: 2 π fc = 8π
अथवा fc = 4 प्रति सेकण्ड।
आवर्तकाल T = \(\frac{1}{f_{c}}\) = \(\frac { 1 }{ 4 }\) = 0.25 सकण्ड।
अतः आयाम मॉडुलित तरंग चित्र-15.12 में प्रदर्शित है।

संचार व्यवस्था बहुविकल्पीय प्रश्नोत्तर
• निम्नलिखित प्रश्नों के चार विकल्प दिए गए हैं। सही विकल्प का चयन कीजिए
1. उच्च आवृत्ति तरंगों पर सन्देश सिग्नल के अध्यारोपण की प्रक्रिया कहलाती है [2016]
(a) संचरण
(b) मॉडुलन
(c) संसूचन
(d) अभिग्रहण।
उत्तर
(b) मॉडुलन
2. किसी रेखीय ऐन्टिना द्वारा विकिरित शक्ति तरंगदैर्घ्य पर किस प्रकार निर्भर करती है [2014]
(a) P ∝ λ
(b) P∝ λ2
(c) P∝\(\frac { 1 }{ λ }\)
(d) P∝\(\frac{1}{\lambda^{2}}\)
उत्तर
(d) P∝\(\frac{1}{\lambda^{2}}\)
3. सन्देश सिग्नल को किसी ऐन्टिना द्वारा प्रेषित करने के लिए उसकी न्यूनतम लम्बाई होनी चाहिए
(a) λ
(b) \(\frac { λ }{ 2 }\)
(c) \(\frac { λ}{ 4 }\)
(d) \(\frac { λ }{ 8 }\)
उत्तर
(c) \(\frac { λ}{ 4 }\)
4. एक ऐन्टिना एक अनुनादी परिपथ की भाँति कार्य तभी करता है जबकि उसकी लम्बाई ( λ = तरंगदैर्घ्य ) हो
(a) \(\frac { λ }{ 8 }\)
(b) \(\frac { λ}{ 4 }\)
(c) \(\frac { λ }{ 2 }\) की पूर्णांक गुणज
(d) \(\frac { λ}{ 4 }\) की विषम गुणज।
उत्तर
(b) \(\frac { λ}{ 4 }\)
5. टी०वी० प्रसारण के लिए प्रयुक्त आवृत्ति परास होता है
(a) 30 मेगाहर्ट्स -300 मेगाहर्ट्स
(b) 30 गीगाहर्ट्स-300 गीगाहर्ट्स
(c) 30 किलोहर्ट्स-300 किलोहर्ट्स
(d) 30 हर्ट्स- 300 हर्ट्स।
उत्तर
(a) 30 मेगाहर्ट्स -300 मेगाहर्ट्स
6. वाहक तरंग की आवृत्ति fm के साथ श्रव्य तरंग आवृत्ति fm के आयाम मॉडुलेशन से प्राप्त बैण्ड-चौड़ाई का मान होगा [2015]
अथवा fc आवृत्ति की वाहक तरंग fm आवृत्ति की श्रव्य तरंग द्वारा आयाम मॉडुलित की जाती है। मॉडुलित तरंग की बैण्ड चौड़ाई होगी [2018]
(a) 2fc
(b) 2fm
(c) fc + fm
(d) fc – fm.
उत्तर
(b) 2fm
7. आयाम मॉडुलित तरंग में मॉडुलन सूचकांक है
(a) सदैव शून्य .
(b) 0 तथा 1 के बीच
(c) 1 तथा अनन्त के बीच
(d) सदैव अनन्त।
उत्तर
(b) 0 तथा 1 के बीच
8. आयाम मॉडुलेशन तरंग निम्न के योग के समतुल्य है [2014]
(a) दो ज्यावक्रीय तरंगें
(b) तीन ज्यावक्रीय तरंगें
(c) चार ज्यावक्रीय तरंगें
(d) इनमें से कोई नहीं।
उत्तर
(b) तीन ज्यावक्रीय तरंगें
9. रेडियो तरंग के प्रसारण के लिए मॉडुलन है [2014]
(a) आयाम माडुलन
(b) कला मॉडुलन
(c) आवृत्ति मॉडुलन
(d) इनमें से कोई नहीं।।
उत्तर
(a) आयाम माडुलन
10. 3 x 108 हर्ट्स आवृत्ति की वाहक तरंगों के लिए द्विधुवी ऐन्टिना की लम्बाई होनी चाहिए [2014] .
(a) 0.25 मीटर
(b) 0.50 मीटर
(c) 1.0 मीटर
(d) 4.0 मीटर।
उत्तर
(b) 0.50 मीटर
![]()
11. यदि संप्रेषी ऐन्टिना की ऊँचाई h तथा अभिग्राही ऐन्टिना की ऊँचाई h2 है तो दृष्टिरेखीय (LOS) संचरण विधि में संतोषजनक संचरण के लिए दोनों ऐन्टिनों के बीच की अधिकतम दूरी होती है। (पृथ्वी की त्रिज्या R है)- [2016]
(a) \(\sqrt{2 h_{1} R+2 h_{2} R}\)
(b) \(\sqrt{h_{1} R}+\sqrt{h_{2} R}\)
(c) \(\sqrt{\left(h_{1}+h_{2}\right) R}\)
(d) \(\sqrt{2 h_{1} R}+\sqrt{2 h_{2} R}\)
उत्तर
(d) \(\sqrt{2 h_{1} R}+\sqrt{2 h_{2} R}\)
12. 200 किलोहर्ट्स की वाहक आवृत्ति और 10 किलोहर्ट्स के मॉडुलन संकेत के लिए आयाम मॉडुलित (AM) सिग्नल की बैण्ड-चौड़ाई होगी [2016]
(a) 20 किलोहर्ट्स
(b) 210 किलोहर्ट्स
(c) 400 किलोहर्ट्स
(d) 190 किलोहर्ट्स।
उत्तर
(a) 20 किलोहर्ट्स
13. 10 किलोहर्ट्स आवृत्ति तथा 10 वोल्ट शिखर वोल्टता के संदेश सिग्नल का उपयोग किसी 1 मेगाहर्ट्स आवृत्ति तथा
20 वोल्ट शिखर वोल्टता की वाहक तरंगों को मॉडुलित करने में किया गया है। उत्पन्न पार्श्व बैण्ड की आवृत्तियाँ होंगी [2018]
(a) 1000 किलोहर्ट्स तथा 900 किलोहर्ट्स
(b) 1010 किलोहर्ट्स तथा 990 किलोहर्ट्स
(c) 1010 किलोहर्ट्स तथा 1020 किलोहर्ट्स
(d) 11 मेगाहर्ट्स तथा 9 मेगाहर्ट्स।
उत्तर
(b) 1010 किलोहर्ट्स तथा 990 किलोहर्ट्स
14. व्योम तरंगों द्वारा क्षितिज से पार संचार के लिए निम्न में से कौन-सी आवृत्ति उपयुक्त होगी [2018]
(a) 10 किलोहर्ट्स
(b) 10 मेगाहर्ट्स
(c) 1 गीगाहर्ट्स
(d) 1000 गीगाहर्ट्स।
उत्तर
(b) 10 मेगाहर्ट्स
15. UHF परिसर की आवृत्तियों का प्रसारण प्रायः किस प्रकार की तरंगों द्वारा होता है [2018]
(a) भू-तरंग
(b) व्योमतरंगें
(c) पृष्ठीय तरंगें
(d) आकाश तरंगें।
उत्तर
(d) आकाश तरंगें।
16. आयन मण्डल से निम्न में से कौन-सी आवृत्ति परावर्तित हो सकती है [2018]
(a) 5 किलोहर्ट्स
(b) 5 मेगाहर्ट्स
(c) 5 गीगाहर्ट्स
(d) 500 मेगाहर्ट्स।
उत्तर
(b) 5 मेगाहर्ट्स